-
Notifications
You must be signed in to change notification settings - Fork 34
02. Descending into Machine Learning
Topic: Descending into ML
Course: GMLC
Date: 10 February 2019
Professor: Not specified
-
https://developers.google.com/machine-learning/crash-course/descending-into-ml/video-lecture
-
https://developers.google.com/machine-learning/crash-course/descending-into-ml/linear-regression
-
https://developers.google.com/machine-learning/crash-course/descending-into-ml/training-and-loss
-
Linear relationship
-
-
y' - the predicted label or a desired output
-
b - the bias or the y intercept (offset from an origin)
-
w1 - weight of feature 1 (x1) (same as slope m from traditional line equation)
-
x1 - feature or a known input
-
The following example uses only one feature, but model may use multiple features and weights
-
-
Linear regression - type of regression model that produces a continuous value from a linear combination of features
-
Inference - making the prediction itself using the unlabelled examples (after training the model with labeled examples)
-
Weight - a coefficient for a specific feature, or an edge in a deep network
-
Training - determining good values for all the weights and bias from labeled examples by examining models to find one that minimises the loss (process called empirical risk minimisation )
-
Loss - the number indicating how bad the prediction was on a simple example (perfect - 0, only greater than 0)
-
Goal of a good prediction model is to have an average low loss
-
-
Squared loss
-
the square difference between the label and the prediction
-
(observation - prediction(x))2 = (y-y’)2
-
-
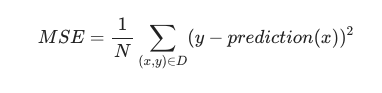
Mean square error (MSE)
-
-
Average squared loss for each example over the whole data set
-
x - set of features (numeric value)
-
y - label (for example a temperature)
-
prediction(x) - function of weights and bias in combination with the features themselves
-
D - Data set combing many (x, y) labeled pairs / examples
-
N - Number of examples in data set
-
-
Know the variable names for machine learning functions
-
Know how do weight and feature correlate with each other
-
Know how to explain empirical risk minimisation and where is it used
-
Know how do calculate loss
-
Understand the MSE calculations and the quality of prediction model by looking at MSE results
-
Model’s quality is determined by its MSE result
-
Empirical risk optimisation is a training process in which models are examined to find the one which has the lowest average loss

